-
«الأعلى للطاقة» يبحث توفير الكهرباء اللازمة لمشروعات صناعية جديدة
-
رئيس «صناعة النواب»: إزالة العقبات البيروقراطية مفتاح لحل أزمة المصانع المغلقة
-
الكشف عن أسرع شاحن سيارة كهربائية خلال 10 دقائق بأسبوع أبوظبى للإستدامة
-
الصكوك الإسلامية تكتب رقمًا قياسيًا جديدًا، أكثر من 300 مليار دولار إصدارات في 2026
التنمية الصناعية تُحدث أكواد الأنشطة الغذائية وتطرح دليلًا شاملا للمصنعين
الإثنين، 05 يناير 2026 11:11 ص
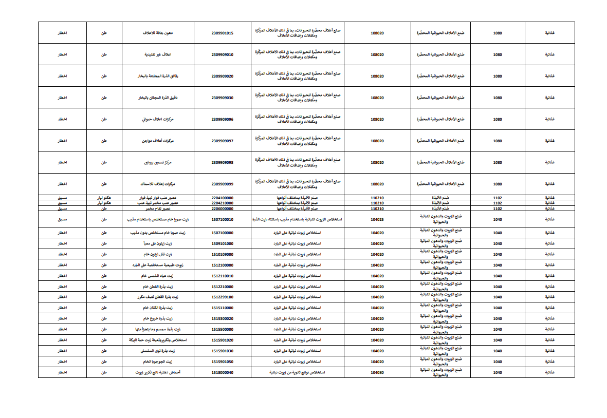
أكواد الأنشطة الغذائية بهيئة التنمية الصناعية
محمد جابر
أطلقت الهيئة العامة للتنمية الصناعية دليلا محدثا وشاملا لأكواد الأنشطة الغذائية، وذلك في إطار خطتها الرامية لتطوير قواعد البيانات الصناعية والتوافق مع المعايير الاقتصادية والتصنيفات الدولية، وتأتي هذه الخطوة بالتنسيق الوثيق مع مصلحة الجمارك المصرية والجهات المعنية بالمنتجات الصناعية، لضمان دقة توصيف الأنشطة وتيسير إجراءات الاستيراد والتصدير للمصنعين.
أنشطة التجهيز والحاصلات الزراعية
يتضمن الدليل الجديد توصيفاً دقيقاً لعمليات تعبئة وتغليف المواد الغذائية، وتجهيز الأعشاب والنباتات الطبية والعطرية، بالإضافة إلى أنشطة تهيئة المحاصيل والحبوب ونواتج الحاصلات الزراعية المختلفة، كما شملت الأكواد عمليات فرز وتدريج الخضر والفاكهة، وإنتاج المربى والمربيات و"هلامات المائدة"، فضلا عن قطاع المحاصيل المجففة والمخللة.
الصناعات الحيوانية والداجنة والأسماك أفردت الهيئة أكوادا خاصة لإنتاج مصنعات اللحوم والدواجن، بما في ذلك اللحوم المجففة والمملحة والمدخنة، ومعالجة مخلفات المجازر، وفي قطاع الثروة السمكية، شمل الدليل أنشطة إنتاج وتجهيز الأسماك والقشريات والرخويات، وصنع مسحوق الأسماك، وتجهيز المكسرات والتسالي بمختلف أنواعها.
العصائر والمشروبات والمدخلات الصناعية
احتوى الدليل أيضا على أكواد إنتاج العصائر الطبيعية من التمر والكركديه والخروب، ومعجون الفاكهة والخضر الطازجة، بجانب قطاع المشروبات الكحولية وتعتيقها، كما تضمن الدليل تصنيفات دقيقة لصناعة الثلج للأغراض الصناعية والجافة، واستخلاص الزيوت النباتية ونواتجها الثانوية.
قطاع الأعلاف والإنتاج الحيواني
وفيما يخص قطاع الإنتاج الحيواني، حددت الهيئة أكوادا متخصصة لإعداد الأعلاف غير المخلوطة لحيوانات المزارع، وصنع الأعلاف المحضرة للأسماك والدواجن والأرانب والحيوانات الأليفة، بما يضمن إحكام الرقابة على جودة المدخلات الزراعية والحيوانية في الأسواق.




























Short Url
طارق المُلا رئيسًا للجنة الطاقة والبيئة بمجلس النواب
14 يناير 2026 12:56 م
أحمد بهاء شلبي رئيسًا للجنة الصناعة في مجلس النواب
14 يناير 2026 12:52 م
النائب محمد الجارحي رئيسا للجنة المشروعات المتوسطة والصغيرة في مجلس نواب
14 يناير 2026 12:45 م
أكثر الكلمات انتشاراً